EMI滤波器的结构很重要,忽视的后果很严重……
2020-05-25EMI滤波器插入损耗的理论分析
EMI滤波器插入损耗IL定义如下:
IL=10log(P1/P2)=20log(U1/U2) (1)
式中,P1和U1分别表示当EMI滤波器未插入前(图1(a)),从噪声源us传递到负载RL的功率和电压;P2和U2分别表示当EMI滤波器接入后(图1(b)),从噪声源传递到负载的功率和电压。
图1 EMI滤波器接入前、后的电路
理论分析EMI滤波器的IL时,把滤波器网络用A参数来表示:
(2)则可求得EMI滤波器的IL表达式为:
IL=20log|(a11RL+a12+a21RSRL +a22RL)/(RS+RL)|
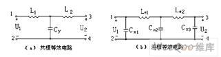
(3)图2为高性能的EMI滤波器。其中,E表示共模信号输入端。图2中网络的共模等效电路如图3(a)所示,差模等效电路如图3(b)所示。图3(b)中Le1、Le2、Cxi,i=1,2,3,分别表示等效电感和电容。
图2 EMI滤波器网络
图3 图2网络的共模与差模等效电路
由图3(a)并根据式(4)可求得共模插入损耗为:
ILCM=10lg|(RS+RL-ω2CyD12+ω2D22)|-20lg(RS+RL)
(4)式中,D1=L1RL+L2RS;D2=L1+L2-ω2L1L2Cy+CyRSRL
由图3(b)同理可求得差模插入损耗为:
ILDM= 10lg|(B12+B2+RSRLB3)|-20lg(RS+RL)
(5)式中,B1=RL(1-ω2Cx2Le2)-ω2Cx2Le1(1-ω2Cx3Le2)+RS(1-ω2Cx2Le2)-ω2Cx1Le2-ω2Cx1Le1(1-ω2Cx2Le2);B2=ωLe2+ωLe1(1-ω2Cx2Le2);B3=ωCx3+ωCx2(1-ω2Cx3Le2)+ωCx1(1-ω2Cx3Le2)–ω3Cx1Cx3Le1-ω3Cx1Cx2Le1(1-ω2Cx3Le2)。
影响插入损耗的各种原因
1 RS与RL对插入损耗的影响及改进方法
一般设计时,令RS/RL=50Ω/50Ω,这有利于简化EMI滤波器的理论计算(把RS、RL看成常数而不是变量),但实际运用RS/RL=50Ω/50Ω的概率很少。这显然脱离了实际情况,其理论分析与实际插入损耗相差较大。因此,CISPR出版物4.2.2.2建议:除RS/RL=50Ω/50Ω测试方法外,另外补充RS/RL=0.1Ω/100Ω和RS/RL=100Ω/0.1Ω两种极端情况的测试方法。可以理解为帮助用户了解该EMI滤波器在两种极端情况下,其插入损耗有效范围是否满足要求。
2 分布参数对插入损耗的影响
在低频段,电感器和电容器的分布参数可忽略不计,但在较高的频段工作时,它们的分布参数对IL的影响就会显示出来。而电容器中的分布电感,元件与金属外壳之间,元件与元件之间,印刷电路板布线等均存在分布参数。这些分布参数会加入电路运算。解决元件分布参数对IL的影响有下列几种方法:
(1)选择优质元件;(2)估计元件分布参数,建立EMI滤波器高频等效模型,并把元件分布参数参加滤波器设计;(3)如果IL达不到要求,可以增加滤波器的级数;(4) 通过元件布局、印刷电路板设计有利于电磁兼容等方法来解决。
3 电感材料性能对IL的影响
在高频段,电感器采用的纳米晶体软磁性材料的频响不如猛锌铁氧体软磁性材料的频响。因此,在高频段,电感器应采用锰锌铁氧软磁性材料,这有利于高频段加大插入损耗,即提高滤波器对高次谐波的仰制效果。但是,由于纳米晶体软磁材料具有很高的导磁率(μ0可达到13.5万,μe可达到17.9万)和高饱和磁感特性,这些特性指标远优越铁氧体和钴基晶体软磁性材料,因此,采用纳米晶体材料有利于低频段的共模插入损耗,即减少通带的插入损耗。
4 RS、RL与EMI滤波器结构的选择关系
由式(4)可知:IL与RS、RL有直接关系,即使EMI滤波器设计达到IL指标,对于不同RS、RL,其结构如果选择不当,也不能达到较好的滤波效果。因此,根据RS、RL的实际情况,选用EMI滤波器结构应遵循下列两点原则:
(1)EMI滤波器的串联电感要接到低阻抗源(RS小)或低阻抗负载(RL小);
(2)EMI滤波器的并联电容要接到高阻抗源(RS大)或高阻抗负载(RL大)。只有这样,EMI滤波器实际工作的IL与理论分析才能基本一致。
改善插入损耗的方法
当EMI滤波器的设计完成后,或在实际应用中IL部分频段不达标,或需要再改善IL的曲线,一般有下列几种方法来改善插入损耗。
1 切比雪夫修正系数法
为了克服式(3)设计中的不足,引入切比雪夫修正系数M(ω),即式(3)减去20lg[M(ω)],可获得修正后的插入损耗的改善。切比雪夫修正系数为:
M(ω)=C0+C1ω+C22ω+C33ω+C44ω+C55ω+C66ω+C77ω+C88ω (6)
式中,C0=-22474.82;C1ω=56888.04;C2ω=-61886.31;C3ω=37902.16;C4ω=-14274.88;C5ω=3380.81;C6ω=-491.16;C7ω=39.97;C8ω=-1.39。
2 频段修正法
当电气设备使用场合已确定时,该设备的EMI标准就得按使用场合所在行业的EMI标准来衡量,例如,某开关电源用在信息行业,就可以使用信息行业EMI标准来诊断,即引用GB9254(相当于EN5502)A或B级标准。该标准根据开关电源产生共模,差模干扰的特点,把频率分为三段:0.15~0.5MHz以差模干扰为主;0.5~5MHz以差、共模干扰共存;5~30MHz以共模干扰为主。如果0.15~0.5MHz频段不达标,可以加强差模仰制,方法可以是增加CX的值,必要时要增加差模线圈;如果5~30MHz频段不达标,可以加强共模仰制,方法可以是增加Cy的值,必要时要增加共模的级数(由1级增至2级)。如果上述措施均告失效时,意味着EMI滤波器设计有深层次的问题,则应重新设计。
测试结果与分析
根据图2电路,设计元件参数CX=470μF,Cy=100μF,L1=L2=80mH。当电源内阻RS和负载RL均为50Ω时,差、共模插入损耗的理论计算与测试曲线如图4所示。其中,A、B分别为共模插入损耗的理论计算曲线(ILCMI)和测试曲线(ILCMT);C,D分别为差模插入损耗的理论计算曲线(ILDMI) 和测试曲线(ILDMT)。B曲线和A曲线在频率为1MHz以前是一致的;B曲线在频率为1MHz以后就偏离了A曲线,这是因为电感器采用纳米晶体软磁性材料造成的。D曲线和C曲线在频率为0.1MHz以前是一致的;D曲线在频率为0.1MHz以后就偏离了C曲线,这是因为元件分布参数、各元件间分布参数对IL的影响和电感器采用纳米晶体软磁性材料等因素造成的。
下面来检验图2所示网络对开关电源的电流(电压)谐波的抑制效果:
未接入图2所示网络前,分别对某型号的29英寸彩电、17英寸彩显中的开关电源输入端口电流和电压的谐波进行测量;接入图2所示网络后,等条件重复测量前种情况的各参数。测量条件是:首先对被测电子设备进行严格屏蔽,防止临近设备及环境对被测电子设备的EMI;线路阻抗稳定网路(LISN)输入阻抗为50。在测量来自电气设备传导干扰时,必须在电网交流电源与待测设备之间接一个LISN。采用8793A型谐波分析仪测量电流谐波含量。具有代表性的测量结果见表1。表1中,THDi表示电流总谐波含量,THDv表示电压的总谐波含量,“N”表示图2所示网络。从表1中,我们可以知道:
(1)在开关电源传导干扰中,电流谐波干扰起主导作用,也就是要抑制的主要对象;
(2)在开关电源中,电压谐波分量一般小于基波分量的6% 。
(3)接入图2所示EMI滤波器后,彩电、彩显中的开关电源电流(电压)谐波含量减至原来的三分之一左右。
(4)彩显中的开关电源电流(电压)谐波含量少于彩电
转载于电子发烧友-作者:王树林(hisysteeoke)

